8.1.6 江苏三板统计
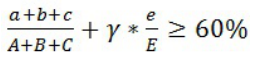
江苏三板指标统计结果依据苏建科〔2017〕43号、苏建函科〔2017〕1198号文中相关内容进行计算。其中“”三板”指的是预制内外墙板、预制楼梯板、预制楼板,其中预制外墙板计入鼓励项。根据苏建函科〔2017〕1198号文要求单体建筑中强制应用的“三板”总比例不得低于 60%,计算范围是指单体建筑室外地坪以上范围,出屋面的电梯机房、楼梯间、设备用房及高层建筑裙房不列入计算范围,楼板不包含一层楼地面和建筑屋面。具体计算方法,如下图所示(仅支持混凝土结构算法):

说明:
1)a、b、c :预制楼板、预制楼梯、预制内隔墙总面积
2)A、B、C:楼板、楼梯、内隔墙、外墙板总面积
3)e鼓励应用部分预制总面积,包括预制外墙板、预制阳台板、预制遮阳 板、预制空调板
4)γ为鼓励应用部分折减系数,取0.25。
5)水平构件按投影面积计算,竖向构件按长度方向一侧表面积计算,计算时可不扣除门、窗等洞口面积。
程序启动界面如下:

用户可在总信息中选择所需计算的楼层以及项目基础信息。
- 强制应用部分
【预制叠合楼板】:在预制叠合板面积统计中,提供自动计算及手动输入方式,如下图所示。当取消勾选“自动计算”,可手动录入每层预制板面积和楼层总面积,程序计算相应比例。当勾选自动计算时,程序可根据模型自动算出投影面积值,此处叠合板投影面积扣除竖向构件产生的切角面积,不扣除洞口的面积。此外增设叠合板间宽度不大于300mm的水平后浇带投影面积是否计入到预制板面积中的选项,默认不勾选,用户可自行判断是否考虑该项。其余楼层选取操作同前。
预制楼梯板投影面积计算的是每个梯段的水平投影面积,总面积计算的是楼梯所在房间的投影面积。预制内隔墙板面积计算实际预制墙面的单侧投影面积,不扣除门、窗等洞口的面积。
- 鼓励应用部分
此部分包含预制外墙、预制阳台板、预制空调板的计算,同样支持自动计算和手动输入两种方式,程序界面如下:
操作方法同强制应用部分。带保温外墙面积为外页板单侧面积;墙体总面积为外围护墙外墙总面积,包含承重墙和非承重墙,均不扣除门、窗等洞口的面积。预制阳台板、空调板计算投影面积时包含了与搭接长度范围的投影面积;总面积为所有悬挑板的,包含预制和现浇的悬挑板
设置完成,点击“计算”和“生成报告书”输出结果如下图:
